石油化工等生产领域有很多长期在高温下运行的设备,服役过程中材料发生微观组织的损伤变化,使得材料性能退化,进一步发展则引起失效,通过微观组织的检测,根据材料的老化规律,进而可以评估设备是安全和剩余寿命。
金相评估的原理
金相评估的基本原理是建立微观组织演变与力学性能劣化的对应关系,可以依据微观组织的变化评估力学性能的劣化,进而可以评估设备的安全和剩余寿命。
本公司收集了大量的高温材料随服役时间的微观组织(演化)已经对应的力学性能,进而可以评估高温设备是剩余寿命。
对于铁素体钢,长期高温服役会发生球化(软化)、碳化物粗化、蠕变孔洞以及蠕变裂纹。当判断损伤级别时,通过对一些典型特征的描述来进行区别时,就可以快速的得出一个大致损伤情况,这也是定性判断的优势。
图中为蠕变孔洞评级标准图,主要是根据有无孔洞以及形成微裂纹的程度来划分。
表 简化的蠕变损伤等级评定
|
等级 |
组织 |
|
| 0 |
新材料 |
|
| 1 |
正常(无孔洞) |
|
| 2 |
单个孔洞 |
![]() |
| 3 |
具有方向排列的孔洞串联 |
![]() |
| 4 |
孔洞串联形成微裂纹 |
![]() |
| 5 |
微裂纹扩展形成宏观裂纹 |
![]() |
蠕变孔洞评级图
对于乙烯裂解炉管,失效主要以脆性断裂为主,由于炉管组织随着服役而产生具有固定演化规律,从大量的服役炉管中得出金相组织规律,从而总结归纳出针对HP型炉管的失效评定参照图。
HP型炉管的失效评定参照图
我们完成的案例
我们评估了几十例高温设备的安全评估和寿命预测项目,材料包括
碳钢和低合金钢
奥氏体不锈钢
镍基合金等材料。
设备包括:
反应器
高温管道
制氢转化炉管
乙烯裂解炉管等。
案例分析:乙烯裂解炉管剩余寿命评估
炉管材料为35Cr-45Ni-Nb,设计温度1100℃,压力0.2MPa。
现场对乙烯裂解炉管进行金相测试。测试结果表明,晶界初始碳化物已经变得圆钝和严重粗化,晶界上细小碳化物已经消失,晶内有大块碳化物析出。
依据我们材料数据库对比和乙烯裂解炉管长期高温服役组织的演化规律判断,该炉管劣化等级我第4级,即消耗了60~80的剩余寿命。


基于微损测试技术的设备剩余寿命预测
微试样试验技术以圆片弯曲实验以及发展演变小冲杆试验技术为代表,一直是国际上的研究热点,并在核电、火电等能源领域和化工装备领域得到广泛发展和应用。小冲杆试验技术应用较为广泛,并用于测试材料的拉伸性能、韧脆转变温度、断裂韧性以及蠕变性能等。
小冲杆试验是利用压杆以一定速率冲压试样薄片,记录试样从变形到失效整个过程中的载荷、位移(变形挠度)数据,并绘制出载荷-位移曲线,根据载荷-位移曲线得到小冲杆试验屈服载荷、最大载荷、最大位移以及小冲杆能量等重要数据,以此分析得出材料的各项力学性能参数。典型的试验装置如图所示,试验装置由加载机构和数据测量机构组成,加载机构主要包括压杆、小钢珠和试样夹持装置。通过数据采集获得的典型载荷-位移曲线,从中可以获得一些用来表征材料变形和断裂性能的信息。试验过程中,载荷施加在压杆上,并通过小钢珠冲压试样,压杆速率一般为0.2~0.5mm/min,当试样完全失稳破裂后,试验终止。
典型小冲杆试验原理图
技术路线
微损测试技术的路线通常是:
第一步:按照所需要的材料性能确定试验方法,从而确定试样形状、数量和尺寸。与传统力学性能试验相同之处是,不同的材料性能试验可能用不同的试验方法;不同之处是,由于试样较小,为了试验数据具有一定的代表性,一般微试样试验要求平行试样3件。
第二步:获取样坯。
第三步:加工试样。常需要抛磨的步骤,使得试样的光洁度、平行度等能够满足试验的要求。
第四步:进行测试。
第五步:数据分析。
Small punch test 可以获得如下力学性能:
拉伸性能
韧脆转变温度
断裂韧性
蠕变性能
案例1. 小冲杆蠕变寿命预测
蠕变寿命预测模型
基于传统单轴蠕变试验结果,可以对机械结构的蠕变寿命进行预测。但是,单轴拉伸蠕变试验需要花费较长的试验时间。经过几十年的研究,采用短时蠕变试验,来对材料的断裂时间进行预测,发展出了各种预测模型与方法,最常用的预测模型有如下几种:Monkman-Grant,Larson-Miller,Orr-Sherby-Dorn,Manson-Haferd以及近期才发展出来的Wilshire方程。
Monkman-Grant模型将第二阶段的蠕变应变速率和断裂时间相关联。此种方法适用于大多数金属材料和合金的剩余寿命预测。认为在蠕变第二阶段应变的变化率是一个恒定值,不随时间变化直至第三阶段,并且断裂时间和第二阶段蠕变应变速率与试验温度相互独立。在工程应用当中,先进行一系列的短时蠕变试验(一般小于1000h),可以得到Monkman-Grant方程相关参数,就可以预测长时试验的结果(大于1000h)。
Monkman-Grant预测模型最开始是由单轴拉伸蠕变试验的来的,它基于蠕变断裂时间
和最小蠕变速率的关系
,可以表述成如下形式:
或者也可以表述成:
基于小冲杆方法的蠕变寿命预测
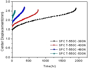
现场微损取毛坯试样,加工成小冲杆试样,在550℃温度下的小冲杆蠕变试验,试验过程中保持恒温恒载条件,记录试样下表面中心点的位移-时间曲线,每个试样都出现了断裂,可以得到不同载荷下的断裂时间。再通过对位移-时间曲线进行处理,获得不同载荷下的蠕变应变-时间曲线,进而获得稳定段的最小蠕变应变速率,可以进行剩余寿命预测。
图4.3 服役CrMo钢材料550℃温度的小冲杆蠕变位移-时间曲线
基于上述的表格中数据,拟合得到550℃下的小冲杆Monkman-Grant方程为:
案例2.基于小冲杆测试技术的加氢反应器材料的劣化评价
加氢反应器一般由2.25Cr1Mo、3Cr1MoV等钢制造,长期服用可能有回火脆化现象,需要定期对反应器材质劣化进行评估。
对于在服役期的材料,可用服役前后材料的韧脆转变温度增量△vTr54按式4-1来评价材料的脆化度。
分别在不同温度进行小冲杆实验,进而拟合出试样的韧脆转变温度。
韧脆转变温度